刘春阳和徐丽娟等:深海橄榄岩蚀变过程中的铬(Cr)同位素分馏及其对海洋Cr同位素质量平衡的启示(JGR-SE, 2024)
发布时间:2024-03-28 作者: 阅读:438次
近年来,稳定铬同位素被广泛应用于示踪地球表生环境在不同地质历史时期的氧化还原程度。目前铬同位素海洋循环模型日趋完善,然而深海橄榄岩作为大洋地幔在洋中脊出露与海水接触的代表岩石,它与海水之间的水岩反应对海洋铬元素及同位素循环的影响尚未可知,制约了我们对现代海洋中铬元素循环的理解及其在古海洋氧化还原演化中的应用。
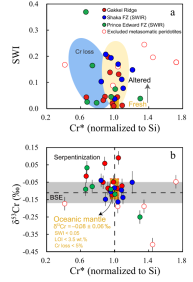
近期,我院徐丽娟副教授团队与合作者报道了深海橄榄岩的Cr同位素组成,取得了以下认识:1)新鲜深海橄榄岩样品所代表的亏损地幔(DMM)的Cr同位素组成为 –± 0.06‰0.08 (图1a, b),与前人通过理论计算得出的亏损地幔Cr同位素组成一致。2)大部分深海橄榄岩样品的Cr含量以及同位素变化十分有限。部分样品表现出在蚀变过程中Cr丢失、Cr同位素组成变重的特征,说明蚀变过程中深海橄榄岩的Cr同位素分馏主要受到蛇纹石化控制,使用瑞利分馏模型模拟蛇纹石化过程中的Cr同位素分馏得到该过程的分馏因子为0.9995-0.9999(图2)。而在蛇纹石化作用之后广泛发育的海底风化过程对橄榄岩的Cr同位素组成没有明显影响。3)综合上述认识,在海水蚀变过程中,深海橄榄岩会向海水输出轻Cr,考虑到深海橄榄岩与海水之间巨大的铬含量差异(6个数量级),这一过程势必会对海洋Cr循环造成显著影响。为了定量估计深海橄榄岩蚀变过程中产生的轻Cr通量,我们采用蒙特卡洛模型模拟得出全球范围的深海橄榄岩蚀变每年向海洋输出约107-109摩尔铬,本研究给出理论推荐值为3.5×108 mol yr-1,且该通量的Cr同位素组成约为 –± 0.21‰0.33 。
本研究表明深海橄榄岩蚀变是继河流输入之后海洋Cr储库的第二大输入通量(图3),是研究海洋Cr循环不可忽视的重要因素。
图1 a:风化指数(SWI)与Cr迁移指数(Cr*)趋势图;b:Cr同位素与风化指数(SWI)趋势图。综合各个地球化学指标约束新鲜橄榄岩Cr同位素组成为–0.08 ± 0.06‰, 2SD, n=4。

图2 瑞利分馏模型模拟蛇纹石化过程中深海橄榄岩Cr同位素分馏,背景橘色样品为蒙特卡洛模拟结果。

图3 海洋Cr循环模型示意图,箭头尺寸参考各个通量大小。
上述成果受国家重点研发计划(2019YFA0708400),国家自然科学基金(41730214、41403010)资助,并发表在地学领域国际著名期刊《Journal of Geophysical Research: Solid Earth》。论文第一作者为中国地质大学(北京)同位素地球化学实验室博士生刘春阳,通讯作者是中国地质大学(北京)徐丽娟副教授和中国科学院地质与地球物理研究所王相力研究员。合作者包括中国地质大学(北京)博士生马海波,刘盛遨教授,北京大学刘平平研究员,李姝宁博士。
文章信息:
Chunyang Liu, Li-Juan Xu*, Haibo Ma, Sheng-Ao Liu, Ping-Ping Liu, Xiangli Wang*, Shuning Li. 2024. Stable chromium isotope fractionation during the alteration of abyssal peridotite: Implications for marine chromium isotope mass balance. Journal of Geophysical Research: Solid Earth, 129(3), e2023JB027140.
全文链接:https://doi.org/10.1029/2023JB027140