王水炯:镍同位素制约地球晚期增生月球形成大碰撞事件【NC,2021】
发布时间:2021-01-22 作者:[科学研究院]张帅 阅读:946次
地球晚期增生阶段(主要包括月球形成大碰撞和后增薄层事件)是地球形成和演化过程中一个极为重要的阶段,它对地月体系的形成和硅酸盐地球生命必需元素储库(如S,C,N等)的建立起到决定性作用,是地球宜居性形成的必要条件。
我校“矿物矿床”求真群体中同位素实验室王水炯教授团队联合中国科学技术大学王文忠博士(目前为University College London博士后)和吴忠庆教授,结合高精度Ni同位素分析和第一性原理计算,对月球形成大碰撞获得了新的认识。
地球地幔中亲铁元素的丰度往往是地球晚期增生阶段建立的,因为亲铁元素在早期增生阶段会被极大的分配进入到由铁-镍合金组成的地核。故硅酸盐地球的亲铁元素同位素体系可以记录地球晚期增生阶段碰撞体的性质:譬如硅酸盐地球中极度亲铁元素丰度和特征受控于后增薄层事件,而中度亲铁元素则可能受月球形成的大碰撞事件影响。镍(Ni)是一个中度亲铁元素,我们通过研究它在硅酸盐地球和球粒陨石中的同位素特征,认为形成月球的大碰撞体是一个类似于水星的、极度还原的、其幔富集硫化物的星体。
研究发现:
1)不同球粒陨石具有均一的Ni同位素组成 (δ60Ni = 0.23 ± 0.11‰;图1)
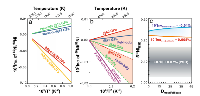
2)硅酸盐地球样品的Ni同位素组成具有非球粒陨石值(δ60Ni = 0.10 ± 0.07‰;图1)
3)第一性原理计算表明地球不同富Ni矿物,如橄榄石、瓦兹利石、林伍德石、布里基曼石以及铁镍合金缺乏Ni同位素分馏,因此硅酸盐地球的非球粒陨石Ni同位素组成不可能是核幔分异所致(图2)

图1 硅酸盐地球和不同陨石的Ni同位素组成

图2 第一性原理计算不同含Ni矿物间Ni同位素分馏因子(a和b)以及理论计算核幔分异可能产生的Ni同位素分馏(c)
因此,我们推测地球晚期增生过程中富集轻Ni同位素的物质的加入使得硅酸盐地球的Ni同位素组成变轻。我们将该物质锁定为硫化物。只有硫化物较硅酸盐矿物和金属极度富集轻Ni同位素(δ60Ni值低至-1‰),并且地球样品中不同程度富集硫化物的高温岩石样品的δ60Ni值和S含量呈负相关。由此,我们推测,月球形成的大碰撞体的幔富集硫化物。那么现在需要回答的问题是:什么样的行星的幔富集硫和硫化物?
通常认为,硫元素是亲铁元素,在行星核幔分异过程中,硫优先进入金属相而使得行星幔亏损硫。但是在极度还原环境下,硫变成一种亲石元素,在此条件下发生核幔分异,硫优先分配进入硅酸盐相,而使得行星幔富集硫化物。由此我们推测,形成月球的大碰撞体是一个形成于极度还原环境下的、富硫的、分异的星体,类似于目前观察到的水星,来自于更加靠近太阳的内银河系(图3)。该碰撞体可能是硅酸盐地球硫元素的主要来源之一。

图3 地球晚期增生卡通示意图和硅酸盐地球的Ni同位素组成演化
上述成果发表在Nature Communications:Wang, S.-J., Wang, W.-Z., Zhu, J.-M., Wu, Z., Liu, J., Han, G., Teng, F.-Z., Huang, S., Wu, H., Wang, Y., Wu, G., Li, W. Nickel isotopic evidence for late-stage accretion of Mercury-like differentiated planetary embryos. Nature Communications, https://doi.org/10.1038/s41467-020-20525-1。王水炯教授和王文忠博士为共同一作,通讯作者为王水炯教授。该研究受到国家自然科学基金(编号41973010)和国家重点研发项目(2019YFA0708404)等资助,得到中国科学院行星科学卓越中心平台支持。