研究亮点
何冠儒:利用自然力估算断裂带水力参数的被动方法【WRR,2023】
发布时间:2023-05-15 阅读:6次
断裂带在地下流体、热量和溶质运输中发挥着关键作用,从而影响许多重要的水文地质过程。断裂带的结构、岩石特性和三维几何形状决定其能否作为导水通道、阻水或混合导水/阻水系统。然而传统方法评估断裂带水力特性存在诸多问题:现场试验方法(抽水试验)需要较大成本和时间,数值模拟方法(离散裂缝网络(DFN))难以表征断裂带整体,且不能获取断层区水文地质特性的动态演变的水动力信息。利用浅层地壳环境中的地下水对自然力(如固体潮和气压)响应的被动方法来估计含水层的水力特性具有很大潜力,但不同方法和模型估算的结果与场地试验结果往往存在差异,对其适用性和代表性仍缺乏认识。
针对上述科学问题,我校水资源与环境学院博士生何冠儒,在史浙明教授指导下,联合美国佐治亚大Todd C. Rasmussen教授。以四川鲜水河断裂带ZK01井为研究对象,基于2016年全年的地下水位高频监测数据,通过潮汐方法,频域气压方法,时域气压方法,对断裂带水力特性进行估算,研究取得的主要创新性认识如下:
1. 通过引力穷举算法和表皮因子,可以提高潮汐法和传统方法借给之间的一致性。潮汐方法获得的渗透系数比抽水试验结果大16%,频域中的气压响应法大6%,而时域方法中的Hvorslev解法、CBP解法和Valois解法则均小于传统方法.
2. 被动方法计算出断裂带板岩的孔隙度为0.23,大于大多数断裂板岩的经验孔隙度值(0.01-0.1),表明断层活动可能提高了断裂带岩石整体的孔隙度,同时较大的储水系数(1.34 × 10–6 m–1)也说明含水层孔隙度足够高;被动方法计算的剪切模量(1.91 GPa)与板岩的三轴蠕变实验结果(1.97 GPa)接近;体积模量(7.31 GPa)与实验室结果8 GPa接近,表明所应用的方法是可靠的。
3. 潮汐响应和气压响应方法提供的估算结果与传统抽水试验的结果相似。在频域中,潮汐和气压方法都与抽水试验结果一致。潮汐模型容易受到局部的、钻孔结构的影响,而气压模型对局部影响不敏感。在时域中,早期响应明显受到局部影响,而后期响应则反映了区域的特征。
4. 潮汐反应和气压反应相结合的方法为理解和描述断层破坏区的水文地质特性提供了一种新的、强有力的方法。对于鲜水河断裂带的估算结果表明该断层带具有很高的水力扩散率(D ? 3 m2·s–1)和渗透性(k ? 0.1 μm2),表明该断层带可能具有较大的储水量,并伴有重要的水力通道。
本研究提出的方法可作为评估断裂带特性的替代方法,用于描述其他活动断层区的水力特性,以及监测原位水文地质特性的长期变化。

图1 (a) 井-含水层模型示意图(b)频域气压响应函数的增益和(c)相位

图2 (a)导水率,(b)储水率,(c)越流系数,和(d)表皮因子,穷举解的频率直方图和概率密度曲线(黑色虚线:平均值;绿色虚线:平均值与标准偏差)

图3 气压响应函数与模型最佳拟合曲线

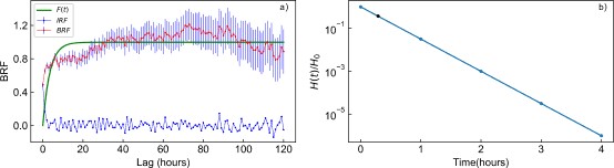
图4 (a) 时域气压响应函数和脉冲函数(BRF,IRF)的指数响应函数拟合结果(F(t))。(b) 响应函数的负指数曲线拟合
上述研究成果发表在水资源领域标志性期刊《Water Resources Research》上,He, G., Shi, Z., Rasmussen, T. C., & Qi, Z. (2023). Fault zone hydraulic parameter estimation by passive methods using natural forces. Water Resources Research, 59, e2022WR033377. [IF2021=6.159]
全文链接:https://doi.org/10.1029/2022WR033377