研究亮点
邢世平:半干旱内陆盆地上新统含水层温度诱导地下水砷富集【GCA, 2023】
发布时间:2023-01-30 阅读:109次
高砷(As)地下水(As>10 μg/L)广泛分布于世界各地,且严重威胁饮用水安全。深部含水层中高As地下水通常受到地热活动影响。受地热活动影响的高As地下水既可能是浅层地下水与从深层地热含水层上升的高砷地下水混合形成,也可能是地热促进与As释放相关的水-岩相互作用导致。含水层温度升高激发沉积物中的As释放到地下水,在较高的含水层温度下矿物溶解度、溶解动力学、饱和指数、溶解氧浓度以及吸附平衡均发生变化。然而,地热促进地下水As的迁移富集机制尚未有充足的认识,且地热促进含水层水-岩相互作用对地下水As的相对贡献仍不明确,因此亟待开展关于受地热影响的高As地下水研究。
贵德盆地是典型的地热异常区,平均地温梯为8.2℃/100 m,是经验地温梯度(3.3°C/100 m)的两倍多。贵德盆地的高As地下水主要出现在上新统中组含水层中。然而,对于上新统中组含水层地下水中可以描述深部地热流体混合过程以及水-岩相互作用的锂同位素(δ7Li)和硼同位素(δ11B)仍然知之甚少。
针对以上问题,我校水资源与环境学院博士后邢世平、郭华明教授与合作者选取贵德盆地为研究区开展相关研究。通过野外样品采样、室内测试以及数据分析等方法手段,探究了贵德盆地上新统中组含水层地下水水化学组分特征以及同位素组成特征,揭示了上新统中组含水层中与As富集相关的水文地球化学过程、阐明了地热对地下水As富集过程的影响并定量描述了地热促进水-岩相互作用对地下水As富集的相对贡献。取得以下主要认识:
(1)探究了贵德盆地上新统中组地下水水化学组分特征以及同位素组成特征。高As地下水主要赋存于上新统中组含水层(11.6~356 μg/L),且其温度较高;上新统中组地下水δ7Li值分布范围为+16.3~+19.3‰(SD: 0.74‰);上新统中组地下水δ11B值相对较低,为-8.03~+12.9‰(SD: 6.83‰)。
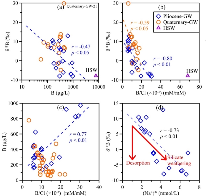
(2)揭示了上新统中组含水层中硅酸盐风化和解吸附是地下水As富集的主要水文地球化学过程。上新统中组地下水锂同位素的分馏过程可以用瑞利分馏模型描述,随着地下水停留时间的增加,地下水中δ7Li值越大,As浓度越高;上新统中组地下水中较低的δ11B值指示含水层的硅酸盐风化过程,且δ11B值越低,As浓度越高,说明硅酸盐风化促进地下水As的富集;上新统中组地下水δ11B值、HCO3-、CO32-、Na+/Ca2+、As之间的关系表明As的解吸附是地下水As富集的重要过程。
(3)阐明了地热对上新统中组地下水As富集过程的影响并定量描述了地热促进水-岩相互作用对地下水As富集的相对贡献。地热主要通过促进含水层硅酸盐风化以及As的解吸附使地下水As浓度升高;I组和II组中初始水-岩相互作用(硅酸盐风化和解吸附作用)释放的As对地下水总As的平均贡献率分别为12.9%和47.9%;I组和II组中由地热促进地下水-岩石相互作用(硅酸盐风化和解吸附作用)释放的As对地下水总As的平均贡献率分别为86.9%和51.5%。
本研究阐明了地热含水层中高As地下水的形成机制并首次量化了地热因素对地下水As富集的影响,为研究地热含水层中As的迁移富集机制提供新思路。

图1 地热驱动上新统中组地下水中砷迁移富集


图2 (a)贵德盆地以及采样点地理位置、(b)水文地质剖面A-B。图中Pliocene-GW、Quaternary-GW、SW、HSW以及River分别为上新统中组地下水、第四系地下水、泉水、热泉水以及河水

图3 上新统中组地下水(Pliocene-GW)、第四系地下水(Quaternary-GW)以及热泉水(HSW)中(a)δ11B和B、(b)δ11B和B/Cl、(c)B和B/Cl、(d)δ11B和(Na+)*之间的关系图

图4 (a)上新统中组地下水(Pliocene-GW)和第四系地下水(Quaternary-GW)中δ7Li和Li/Na关系图、(b)上新统中组地下水中δ7Li和Li/Na关系图

图5 上新统中组地下水(Pliocene-GW)和第四系地下水(Quaternary-GW)中HCO3-与(a)δ11B、(b)B之间的关系图,CO32-与(c)δ11B、(d)B之间的关系图,Na+/Ca2+与(e)δ11B、(f)B之间的关系图

图6 上新统中组地下水中As与(a)B、(b)B/Cl、(c)Na+/TDS、(d)Na+/Ca2+、(e)δ7Li、(f)δ11B之间的关系
本研究受到国家自然科学基金(41825017和42130509)、国家重点研发计划项目(2021YFA0715902)、111计划(B20010)以及中央高校基本科研业务费(2652019296)联合资助。
研究成果于近期发表在国际地球化学权威期刊《Geochimica et Cosmochimica Acta》:Xing, S.P., Guo, H.M.*, Sun, X.M., Zhang, L.Z., Su, A.N., 2023. Temperature-induced arsenic accumulation in groundwater from Pliocene aquifers of a semiarid continental basin. Geochimica et Cosmochimica Acta, 343, 98-114.
全文链接:https://doi.org/10.1016/j.gca.2022.12.029