研究亮点
张里:金属元素在上地幔及地幔转换带最重要组成矿物橄榄石、瓦兹利石、林伍德石中的赋存和分配规律及对地幔化学成分和结构的影响【ESR,2022】
发布时间:2022-09-19 阅读:154次
橄榄石(Mg,Fe)2SiO4是上地幔(深度<410 km)最重要的组成矿物,同时也是地球内部含量第二高(仅次于布里奇曼石)的重要矿物。它在高压下可依次相变为瓦兹利石(β-橄榄石)和林伍德石(γ-橄榄石)。这两种橄榄石的高压相则分别是地幔转换带上部(约410 km-520 km)和下部(约520 km-660 km)最重要的组成矿物。因此,上述三种矿物的温度压力稳定域和物理化学性质可直接决定上地幔及地幔转换带的结构、物质组成、以及物理性质,并对地球整体从地表直至核幔边界的物质循环和元素分异过程产生重要影响。现有研究已经表明,除Fe之外的重要金属元素,如Ni、Ca、Co、Ti、Cr、Zn等也可以替换Mg或Si进入到上述矿物中赋存,并对矿物自身的晶体化学性质及结构稳定性产生影响。因此,对上述金属元素在橄榄石、瓦兹利石、及林伍德石中的赋存和分配规律研究有助于揭示深部地幔的化学组成和结构。
我校地球科学与资源学院张里副教授和国际著名矿物学家美国科罗拉多大学终身荣誉教授Joseph Smyth合作对上述研究领域的重要成果和研究前沿进行了详细的研究综述,获得了以下重要的研究成果和认识:
(1) Fe、Ni、Ca、Co、Ti、Cr、Zn在橄榄石、瓦兹利石、林伍德石中的赋存和矿物相间分配受离子半径、晶体场作用、氧离子属性、配位多面体几何特征的综合影响。
(2) 地幔转换带中的重要组成矿物瓦兹利石和林伍德石相较于橄榄石更容易赋存Ni、Cr、Ti、Co等过渡族金属元素。因此,地幔转换带可能是上述元素重要的潜在储库。
(3) Fe、Ni、Ti、Cr等金属元素在橄榄石、瓦兹利石、林伍德石中的赋存和分配可影响上述矿物的热稳定性质,进而影响520 km和410 km全球尺度地震波不连续面的深度和特征,导致深部地幔的结构出现变化。
该论文对未来地幔重要组成矿物的晶体化学和稳定域研究提供了新的研究方向参考,并对解释520 km全球尺度不连续面观测不统一这一地球科学研究重要前沿问题提供了新的思路。

图1 橄榄石(olivine)、瓦兹利石(wadsleyite)、林伍德石(ringwoodite)和WadsleyiteⅡ 的晶体结构示意图

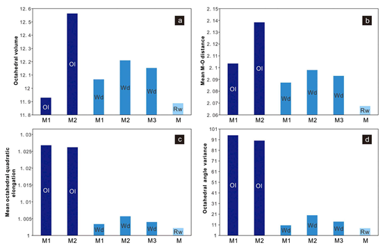
图2 橄榄石、瓦兹利石、林伍德石结构中配位多面体几何特征参数比较

图3 高温高压合成含Co和含Fe瓦兹利石的镜下图像

图4 Fe、Ni、Co赋存对瓦兹利石和橄榄石热稳定性的影响(a)位型熵总体影响;(b)位型熵下降值
上述研究成果发表在国际地学著名综述期刊《Earth-Science Reviews》上: Zhang, L., and Smyth, J.R. (2022) Crystal chemistry of metal element substitution in olivine and its high-pressure polymorphs: Implications for the upper-mantle and the mantle transition zone. Earth-Science Reviews, 232(2022)104127. [IF2021=12.038]