研究亮点
张京渤:角闪石分离结晶对弧岩浆氧化属性的贡献【AM,2022】
发布时间:2022-09-09 阅读:0次
弧岩浆被认为是大陆地壳形成的主要贡献者,通常具有比洋中脊玄武岩(MORB)更高的氧逸度,但这种氧化属性究竟是来自于地幔楔源区还是在其上升演化过程中逐步形成还未有定论。铁(Fe)作为地壳中丰度最高的变价元素,其价态的变化可以控制岩浆的相对氧化还原状态,而富Fe矿物的分离结晶则可以改变残余熔体的Fe价态。角闪石作为弧岩浆体系中最为常见的富Fe矿物相,其分离结晶是否会导致弧岩浆氧化还原状态的改变目前还不清楚。
针对上述问题,我校科学研究院博士研究生张京渤,在其导师王瑞教授指导下,与中国地质调查局西安地质调查中心洪俊高级工程师合作,对全球保存程度最好且完整出露的弧剖面——巴基斯坦Kohistan弧开展了详细的岩石学和矿物学研究。研究所选取的Jijal杂岩体样品具有与全球钙碱性弧岩浆互补的地球化学特征,符合实验岩石学“Z”型演化趋势线,结合岩相学观察,证实其为堆晶成因。该研究对Jijal杂岩体中的角闪石、石榴子石以及全岩开展了包括高精度穆斯堡尔谱在内的Fe价态测试分析,取得如下创新性认识:
(1)汇总已发表的岩石地化数据,表明Kohistan弧Fe3+/∑Fe随岩浆演化而逐渐升高,且经历了以角闪石为主导的分离结晶作用。这一特征与全球典型岩浆弧相一致(图1)。
(2)随着弧岩浆的演化,含角闪石堆晶全岩的Fe3+/∑Fe从0.4降至0.2,这与角闪石的Fe3+/∑Fe从0.35降至0.2相似,而石榴子石的Fe3+/∑Fe则没有发生较大改变,这表明Kohistan弧岩浆中Fe3+/∑Fe的变化主要受控于角闪石(图2)。
(3)含角闪石堆晶的Fe3+/∑Fe随岩浆的演化呈现出降低趋势,这使得残余熔体中的Fe3+/∑Fe会随岩浆演化而增加,表明了角闪石对于弧岩浆氧化属性具有控制作用。
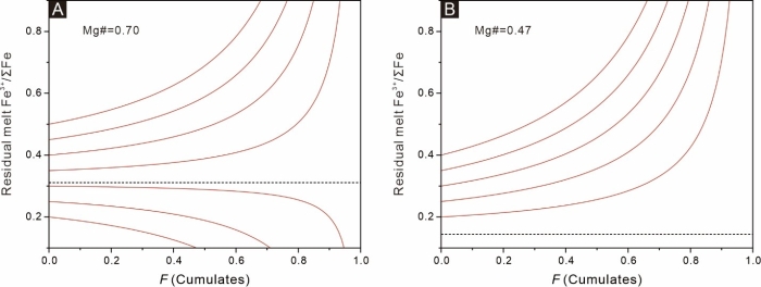
(4)分离结晶模拟表明,当原始岩浆的Fe3+/∑Fe大于0.2时,角闪石的分离结晶可使残余熔体的Fe3+/∑Fe升高0.1-0.3。同时,角闪石对残余熔体Fe3+/∑Fe的提升能力随着岩浆的演化逐渐增强(图3)。因此,角闪石在深部的堆晶作用和浅部的分离结晶作用可以导致弧岩浆分步氧化(图4)。
该项研究强调了岩浆的内部作用特别是矿物分离结晶作用在形成富沃弧地壳过程中的重要性,为研究大陆地壳形成和造山带成矿作用提供了新的切入点。

图1 科希斯坦、汤加和安第斯弧岩浆Fe3+/∑Fe-Mg#和Dy/Yb-SiO2关系图

图2 全岩以及其中的角闪石和石榴石的Fe3+/∑Fe与Mg#关系图
图3 不同初始Fe3+/∑Fe下残余熔体Fe3+/∑Fe与分离结晶程度模拟曲线

图4 角闪石分离结晶分步氧化模式图
上述研究成果发表在国际地质学领域权威期刊《American Mineralogist》上:Zhang, J., Wang, R.*, Hong, J., 2022. Amphibole fractionation and its potential redox effect on arc crust: Evidence from the Kohistan arc cumulates. American Mineralogist, 107, 1779-1788.
全文链接:https://doi.org/10.2138/am-2022-8141