返回学校首页

研究亮点

当前位置:首页 / 研究亮点

南泽宇:倾斜裂缝地层感应测井数值模拟,物理实验及响应分析【IEEE TGRS,2022】

发布时间:2022-01-10       阅读:0

感应测井应用广泛,是获取地层电阻率的重要手段。以往裂缝性地层感应测井响应规律研究多局限于地层中涡流对感应测井的贡献,很少分析裂缝与围岩电阻率不连续界面上产生的累积电荷对感应测井的贡献。实际测井数据、物理实验及数值模拟结果表明,在低阻地层中,涡流对感应测井的贡献占主导,高阻地层中,累积电荷对感应测井的贡献占主导。因此,高阻地层中裂缝感应测井响应规律不同于以往获得的低阻地层中裂缝感应测井响应规律。

针对上述科学问题,我校地球物理与信息技术学院谭茂金教授,李军教授,南泽宇博士生及其合作者开展了系统的理论分析,数值计算及物理实验。厘清了不同电阻率地层中裂缝感应测井响应规律,取得以下认识:

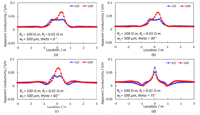
1、地层中充填泥浆的高导裂缝感应测井响应明显(图1),感应测井视电阻率与裂缝开度负相关,当基岩电阻率为裂缝电阻率的2000倍时,感应测井可识别开度大于190μm的裂缝;

2、对于直井中的水平缝,感应测井响应由地层中涡流激发的体积项构成;倾斜缝感应测井响应由体积项及裂缝表面累积电荷激发的电荷项构成(图2);

3、受涡流与累积电荷的影响,倾斜裂缝感应测井响应规律复杂。当裂缝倾角增大时,涡流与接收线圈之间的磁链减小,体积项对感应测井视电阻率的贡献单调递减;同时,累积电荷密度增加,其激发的磁场方向逐渐与接收线圈平行,电荷项对感应测井视电阻率的贡献先增大后减小;

4、低阻地层中,累积电荷密度低,体积项占主导,感应测井视电阻率随裂缝倾角增大单调递增。高阻地层中,电荷项占主导,感应测井视电阻率随裂缝倾角增大先减小后增大。高阻地层与低阻地层电阻率划分界限受裂缝开度、长度等因素的影响。

该研究成果为深入理解裂缝性地层电磁场传播特性,厘清裂缝感应测井响应规律奠定了基础,对不同储层类型中的裂缝参数定量评价方法研究具有指导意义。

1

图1:不同倾角裂缝双感应测井视电导率曲线


2

图2:不同电导率裂缝表面累积电荷密度

上述研究成果发表在地质与遥感国际权威刊物《IEEE TRANSACTIONS ON GEOSCIENCE AND REMOTE SENSING》上:Nan, Z.Y., Tan, M.J., Li, J., Fan, X.M. 2022. Numerical Simulation, Response Analysis, and Physical Experiment of Induction Logging in an Inclined Fractured Formation. IEEE TGRS. [IF2020=5.6]

全文链接:https://doi.org/10.1109/TGRS.2021.3056133.