钒在铁矿石、石油和煤炭中广泛分布。不断升级的采矿和冶炼活动导致钒污染成为生产基地附近地下水含水层的常见问题。偏钒酸氧阴离子形式的五价钒[V(V)]会干扰磷酸盐代谢,严重危害生物安全。在中性环境中,微生物将V(V)还原为易沉淀的四价钒[V(IV)]已成为修复钒污染地下水的一种有前途的策略。但是目前V(V)还原菌株的资源仍然十分有限。放线菌在自然环境中广泛分布,代谢多样和快速定植能力使它们非常适合生物修复。作为放线菌属的细黄链霉菌成功修复了As(III)、NO3-、Cr(VI)等污染,然而其对V(V)的还原能力尚未完全阐明。此外,目前关于微生物还原V(V)的详细电子传递途径和代谢调节机制仍不清楚。
针对上述问题,我校水资源与环境学院硕士生王世香,在张宝刚教授等的指导下,建立了细黄链霉菌、乙醇、V(V)溶液的生物系统。研究选择了自然环境中常见的代表性放线菌细黄链霉菌评估其还原V(V)的能力,还原产物和生物质生长的特征以及全面的多组学分析揭示了该菌株在V(V)还原过程中的电子传递途径。此外,还进行了细黄链霉菌的生物强化实验,以评估其在V(V)修复中的有效性及其与本土微生物的相互作用,取得了以下创新性认识:
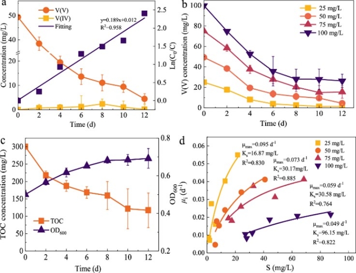
(1)确定了细黄链霉菌具有还原V(V)的能力(图1)。在12 d反应后其对V(V)的去除效率为91.0 ± 4.35%,遵循伪一级动力学模型,TOC浓度随时间逐渐降低,并且微生物的生长符合Monod方程。
(2)细黄链霉菌的膜部分、细胞质可溶性部分和无细胞提取物部分具有还原V(V)的能力。在V(V)的胁迫下,电子转运蛋白(包括Cyt c、NADH、GSH和可溶性核黄素)的含量显著升高,积极参与V(V)还原。
(3)通过转录组学、蛋白质组学和代谢组学联合分析揭示了电子转移途径(图2)。电子能流过呼吸链以还原细胞内的V(V)或流向外膜上的细胞色素c以还原细胞外的 V(V)。可溶性核黄素和醌也可能介导细胞外V(V)的还原。谷胱甘肽能为细胞内V(V)还原提供电子。
(4)细黄链霉菌对含水层沉积物的生物强化加速了V(V)还原(图3)。该菌株可以成功地在沉积物中定殖,与本土微生物产生正相关关系,并刺激土著V(V)还原菌的增殖,可用以实际钒污染环境的修复。

图1 细黄链霉菌在12天内对V(V)的生物还原

图2 通过转录组学、蛋白质组学和代谢组学分析揭示了细黄链霉菌还原V(V)的电子转移特征

图3 细黄链霉菌生物强化后沉积物的V(V)去除性能和微生物群落动力学
上述研究成果发表在国际环境领域权威期刊《Environmental Science & Technology》上。中国地质大学(北京)王世香硕士为论文第一作者,张宝刚教授为论文通讯作者。该研究得到国家自然科学基金项目的支持。
论文信息与链接:Wang, S.X., Zhang, B.G.*, Fei, Y.M., Liu, H., Zhao, Y., Guo, H.M., 2023. Elucidating Multiple Electron-Transfer Pathways for Metavanadate Bioreduction by Actinomycetic Streptomyces microflavus. Environmental Science & Technology, 57, 19921-19931. [IF2022=11.4].
全文链接:https://doi.org/10.1021/acs.est.3c07288