铁(Fe)的生物地球化学循环和有机质(OM)的转化在不同的地表栖息地中密切耦合。含铁矿物在该过程中起着多种作用,根据不同的矿物类型、氧化还原条件和矿物-有机物的相互作用机制,既能够抑制有机质的降解,又能加速有机质的转化甚至矿化。据报道,土壤和沉积物中氧化还原条件的循环能够显著的加速有机质的矿化,但其中的机制却复杂多变,矿化程度依旧难以捉摸。我们假设在连续的Fe的氧化还原循环驱动下,含铁黏土矿物可以驱动并且加速有机质的转化,并且形成正反馈机制,持续改造复杂有机质。
为了验证这个假设,我校博士研究生胡大福在地学院曾强副教授和董海良教授的指导下,选取了一种腐殖酸和一种含铁黏土矿物,通过非生物和生物结合的方法,对富铁蒙脱石中具有代表性的绿脱石进行了铁氧化还原实验,并研究了腐殖酸作为代表性有机质的转化过程(图1)。取得的主要结果如下:
1. 化学还原黏土矿物以及随后的绿脱石的非生物再氧化过程产生了大量的羟基自由基(·OH),有效地改变了腐殖酸的化学和分子组成。生物还原过程中,模式铁还原菌Geobacter sulfurreducens在还原过程中能够更好地利用羟基自由基改造之后的腐殖酸,促进了黏土矿物的还原(图2)。原因在于,羟基自由基破坏了原始腐殖酸的芳香结构,促使更容易被微生物利用的羧酸盐形成。
2. 相比于原始腐殖酸,改造后的腐殖酸将绿脱石的还原程度增加了105%,Fe(III)还原与腐殖酸的进一步转化甚至矿化相结合,导致腐殖酸发色基团的漂白并形成微生物产物和细胞碎片,并且导致含羧基的脂肪族分子的去除(图3)。
3. 羟基自由基改造之后的腐殖酸电子穿梭能力下降,这是由于腐殖酸中的醌基被羟基自由基氧化,从而降低了腐殖酸的电子传递效率。

图1. 绿脱石的非生物-生物氧化还原循环示意图

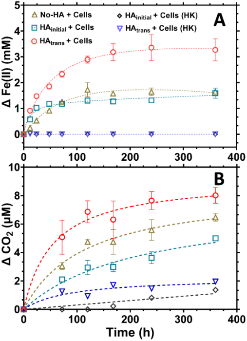
图2. (A)仅存在腐殖酸作为电子供体时,绿脱石层间结构Fe(III)还原随时间的变化;(B)CO2随时间的累积量

图3. 生物还原前后腐殖酸组分及分子特征的变化(VK图)

图4. 含铁黏土矿物氧化还原循环驱动的正反馈过程的概念图
我们的研究结果为氧化还原波动环境中Fe氧化还原循环驱动的OM快速矿化提供了机制解释。首先,在好氧条件下,还原态含铁矿物再氧化产生羟基自由基将难降解的有机质(如腐殖酸)转化为更具有生物可利用性的底物;当氧气耗尽时,转化后的底物能够作为更好的碳源,增强Fe(III)矿物的还原。因此,更多的有机质在这个生物还原过程中被氧化甚至矿化,一旦再次转化成有氧环境,这些降解之后的有机质能够促进羟基自由基的产生,由此形成一个由含铁黏土矿物氧化还原循环驱动的正反馈过程(图4),促进生物可利用性较低的腐殖质在氧化还原波动环境下转化和最终的矿化。
该项研究得到了国家自然科学基金(NSFC-42002038,42192503,42192500)、中央高校基本科研业务费的资助。成果发表在环境科学权威期刊《Environmental Science & Technology》上:
文章链接:https://pubs.acs.org/doi/10.1021/acs.est.3c05646