随着物联网在各个领域的迅猛增长,物联网设备数量不断增加。这些设备在网络边缘运行时生成大量传感数据,其中大部分是多变量时间序列数据。检测这些数据中的异常已被应用于保证物联网应用程序的健康。传统的异常检测方法已经被提出,以在云上使用不同的测量设计和发现算法来检测各种类型的异常。最近,一些基于传统机器学习的方法在多变量时间序列异常检测方面表现出良好的精度。然而,很少有人探索物联网设备间多变量时间序列数据之间的相关性。因此,此类研究工作在数据之间具有许多潜在相互关系的异常检测任务的准确性和召回率方面存在局限性。最近,物联网领域出现了越来越多基于图的研究。基于图的方法在精度上表现出更高的优势。图神经网络是一类基于图的机器学习方法,允许每个图节点通过在结构中传播信息来识别其邻域上下文,有效捕获传感数据之间的潜在关系。然而,将这些方法实际应用于物联网场景中在能源受限的环境中仍然具有挑战。
针对上述科学问题,我校信息工程学院硕士研究生郭宏泰在导师周长兵教授、赵登老师的指导下、联合法国南巴黎电信学院计算机系Walid Gaaloul教授,提出了一种专门针对物联网场景的能源高效的基于图神经网络的多元时间序列数据异常检测方法。该研究的主要贡献体现在如下几个方面:
(1)提出了一种适用于物联网场景的能源高效的基于图神经网络的异常检测方法(简称EGNN),该方法有助于减少数据传输过程中的能源消耗,从而在资源有限的环境中实现更高的能源效率(图1)。
(2)提出了一种基于图结构学习的子图生成算法(简称SGA),用于学习感知数据之间的依赖关系图,生成多个子图和子图中心,并作为后续异常检测的输入结构。这有助于应对物联网系统中底层感知数据之间复杂的相关性,提高了异常检测的准确性(图2)。
(3)提出了一种基于图神经网络的异常检测策略(简称GMS),其中包括两种模式,即正常模式和异常模式,根据异常得分的监测来决定并切换模式。GMS能够大大减少与异常无关的数据传输,因此在异常发生不频繁的情况下,实现了高能源效率的异常检测(图3)。
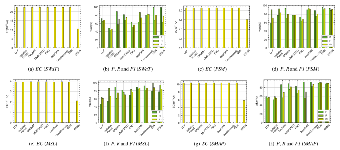
(4)为了验证我们的机制的有效性,我们在真实世界的物联网多元时间序列数据集上进行了大量的实验,比较结果表明,我们的方法在准确性和能源效率方面优于对比方法。(图4)

图1 基于EGNN的多元时间序列异常检测流程图

图2 基于图结构学习的子图生成算法(SGA)流程图

图3 基于图神经网络的异常检测策略(GMS)流程图

图4 EGNN与常见基准方法的比较
本研究受到深时数字地球前沿科学中心“深时数字地球”中央高校科技领军人才团队项目(项目号:2652023001)和国家自然科学基金(42050103和62372420)联合资助。发表在国际权威期刊《Future Generation Computer Systems》:Hongtai Guo, Zhangbing Zhou, Deng Zhao, Walid Gaaloul. EGNN: Energy-efficient anomaly detection for IoT multivariate time series data using graph neural network [J]. Future Generation Computer Systems, 151 (2024): 45–56.(校标志期刊B区,影响因子:7.50)
全文链接:https://doi.org/10.1016/j.future.2023.09.028