研究亮点
孙瑞锦:VS2基超晶格中由面内应力诱导的本征铁磁性【CC, 2023】

过渡金属二硫化物(TMDs)是一类具有MX2M = 金属,X = 硫族元素)通用化学式的材料,属于层状范德华(vdW)材料的大家族。由于其丰富的性质,TMDs在基础物理现象的研究和实际应用方面引起了广泛的研究。凭借其可调节的晶体结构,尤其是MX位置上高度可调的化学组成,TMDs可以展现丰富的电子功能特性,例如光电子和发光特性、电荷密度波和超导性,以及具有可控的谷自由度的谷电子学。然而,这个家族一直缺少一个关键的成员:铁磁材料。迄今为止,在基于TMDs的材料中成功诱导体积铁磁性的实验还没有完全取得成功。

为了在TMDs中诱导固有的铁磁性,MX2材料的M位点必须由高自旋态原子占据。唯一能够在高自旋态下满足TMDs化学稳定性和层状结构形成要求的M元素是钒(V)。近期,M. Bonilla等人的研究报告了单层VSe2中室温铁磁态的观测结果【Nat. Nanotechnol, 2018, 13 289–293】。然而,随后有几个类似的实验未能再现单层VSe2中的铁磁性,使得此发现成为争议的焦点。例如,关于单层VSe2ARPES结果表明,在10 K的温度下不存在交换分裂的电子带和铁磁耦合的V原子【Nano Lett, 2018, 18 4493-4499。而根据STM/nc-AFM的结果,研究人员称单层VSe2中确实存在铁磁性,但仅限于富含Se缺陷的区域【Adv. Mater. 2020, 32, 2000693】,这表明观察到的铁磁性可能不是本征的。同时有人在理论上提出,在VS2/VSe2单层中施加应力可以稳定固有的铁磁有序,其中随着各向同性应变的增加,磁矩和磁耦合强度迅速增加。鉴于这些矛盾的实验和理论结果,我们旨在制备一种不含缺陷的VX2 (X=SSe)材料,在这种材料中来回答以上科学问题。

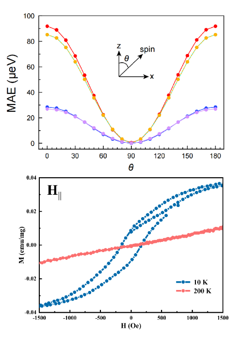
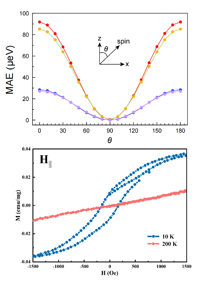
基于以上目的,我们设计并通过低温拓扑化学反应制备了一种基于VS2的超晶格材料:(LiOH)0.1VS2。通过对此超晶格单晶的结构解析和最大熵电荷密度分析,发现了在无缺陷的VS2层中存在一个√3×√7的超结构, 这表明VS2层内被施加了平面内应力。而磁性性质测量表明,在约40 K以下,这种体材料成为一个具有显著磁晶各向异性的铁磁体。进一步的密度泛函理论(DFT)计算也证明了面内应力是铁磁性的起源。本研究的发现预计将为更多基于TMDs的铁磁材料开辟道路,并将有助于更好地理解二维TMDs材料中铁磁性起源。

图片1

图1 (LiOH)0.1VS2的晶体结构

图片2

2 (LiOH)0.1VS2的铁磁性起源

 

上述研究成果发表于材料领域国际权威期刊《Chemical Communications》上,Ruijin Sun,   Jun Deng, Yuxin Ma, Munan Hao, Xu Chen, Dezhong Meng, Changchun Zhao, Shixuan Du,   Shifeng Jin and Xiaolong Chen, Chem. Commun., 2023, Advance Article.

DOI: https://doi.org/10.1039/D3CC01662E