作为地幔柱活动的关键证据之一,巨型放射状岩墙群(半径>300 km)通常被认为是地幔柱到达岩石圈底部岩浆作用的结果,其收敛的位置通常指示地幔柱中心,如中大西洋岩浆省(~200 Ma),Mackenzie大火成岩省(~1270 Ma)以及峨眉山大火成岩省(~260 Ma)。与这些大火成岩省相似,塔里木大火成岩省也存在以巴楚瓦吉里塔格杂岩体为中心的放射状基性岩墙群。然而,其他的大火成岩省的岩墙群最常见的岩性是辉绿岩,而塔里木大火成岩省中的放射状岩墙群的岩性大多数属于碱性煌斑岩(棕闪煌岩,图1)。目前,对于大火成岩省中煌斑岩的成因还存在很大的争议,一些学者认为其源区为经历交代富集的岩石圈地幔,而另有一些学者则认为是来自深部熔体与岩石圈地幔反应形成的富含挥发分的交代脉和上涌的深部地幔(软流圈/地幔柱)发生混合后部分熔融作用的产物。另外,对于一些具体的过程也同样存在很大的争议,比如碱性煌斑岩富集源区的交代介质是来自俯冲流体还是深部地幔?碱性煌斑岩的形成是否有来自地幔柱熔体的贡献,抑或只是来自岩石圈地幔,而地幔柱只提供了触发岩石圈地幔熔融的热量?
为解决以上科学问题,我校2018级博士研究生刘秉翔在“岩浆-热液演化与金属成矿”求真群体张招崇教授的指导下,与苏黎世联邦理工学院的Andrea Giuliani博士及捷克科学院地质研究所Lukás Krmícek博士合作,对塔里木大火成岩省西北部瓦吉里塔格地区的碱性煌斑岩(棕闪煌岩)样品进行了系统的岩相学、矿物化学、全岩地球化学和Sr-Nd-Mg-Zn同位素组成研究,取得了以下创新性成果:
1)碱性煌斑岩(棕闪煌岩)显示出碱性煌斑岩的一些典型特征,包括橄榄石、单斜辉石、角闪石和云母的斑晶。与其他地区煌斑岩不同的是,基质中存在微晶钠长石(An含量<5%)和碳酸盐球粒(图1)。岩相学特征表明,碳酸盐球粒和钠长石可能是棕闪煌岩岩浆演化后期出溶的超临界流体结晶的结果。
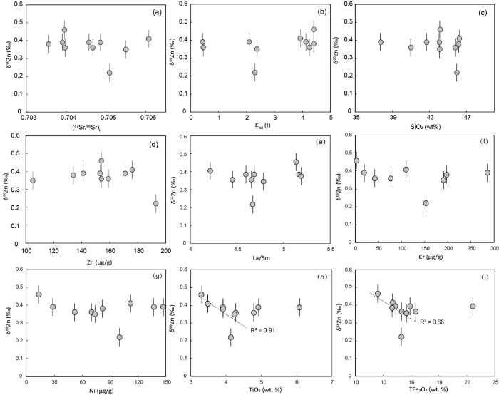
2)棕闪煌岩全岩的δ26Mg值与MORB一致,但是其δ66Zn值则相对于MORB偏重。结合同位素与主微量元素分析显示棕闪煌岩Zn同位素没有受到地壳混染、部分熔融(图2)以及再循环碳酸盐的影响,同时,Rayleigh分馏模型显示橄榄石和单斜辉石的分离结晶对样品Zn同位素组成的影响可以忽略不计(图3)。而样品的δ66Zn值与TiO2及TFe2O3有明显的负相关关系(图2),指示棕闪煌岩较重的Zn同位素可能是由于Fe-Ti氧化物分离结晶作用导致的(图3)。
3)Rhyolite-MELTS模拟显示棕闪煌岩的母岩浆在相同的物理化学条件下(QFM +1,H2O含量=1% ~ 3%),与实验岩石学所得到的富含角闪石脉的交代地幔部分熔融形成的熔体(AG4-6)演化趋势一致(图4)。
4)提出了塔里木大火成岩省碱性煌斑岩的两阶段成因模型:在岩浆活动早期,地幔柱释放的熔体/流体与岩石圈地幔发生交代富集作用,形成了富含角闪石脉的交代岩石圈地幔;在塔里木大火成岩省岩浆活动的后期,地幔柱的热输入触发交代岩石圈地幔的部分熔融,形成棕闪煌岩的母岩浆(图5)。
上述研究成果不仅提出了大火成岩省中碱性煌斑岩的成因新模型,而且还为塔里木大火成岩省形成的深部地质过程提供了重要的约束。因此,本项研究揭示出大火成岩省成因的复杂性。

图1 瓦吉里塔格棕闪煌岩野外、手标本及镜下照片

图2 瓦吉里塔格棕闪煌岩δ66Zn vs. (a) (87Sr/86Sr)t; (b) εNd(t) (c) SiO2; (d) Zn; (e) La/Sm; (f) Cr; (g) Ni; (h) TiO2; (i) Fe2O3T相关图解

图3 (a)瓦吉里塔格棕闪煌岩Rayleigh分馏模型;(b)橄榄石、单斜辉石和Fe-Ti氧化物分离结晶过程中熔体Zn-Mg同位素变化图解

图4 瓦吉里塔格棕闪煌岩MgO与主量和微量元素浓度相关图解。彩色线条表示通过橄榄石、单斜辉石、角闪石、云母和Fe-Ti氧化物分离结晶的Rhyolite-MELTS演化模型的结果。实线是样品16WJL-110(2)的模拟演化曲线,虚线是样品AG4-6(Pilet et al., 2008)的模拟演化曲线

图5 塔里木大火成岩省瓦吉里塔格棕闪煌岩岩石成因模式图
上述研究成果发表在地质学国际权威刊物《Journal of Petrology》上: Liu, B X., Zhang, Z C*., Giuliani A., Xie Q H., Kong W L., Wang C H., Wei B W., Ke S., Santosh, M., Zhang B., Zhang X C., Krmícek L. 2023. A Mantle Plume Connection for Alkaline Lamprophyres (Sannaites) from the Permian Tarim Large Igneous Province: Petrological, Geochemical and Isotopic Constraints. Journal of Petrology, https://doi.org/10.1093/petrology/egad004
全文链接: https://doi.org/10.1093/petrology/egad004